市 长:王明元
副市长:张健龙吴靖宇王也夫陈丽蓉黄建辉吴尊意陈进福陈英煌
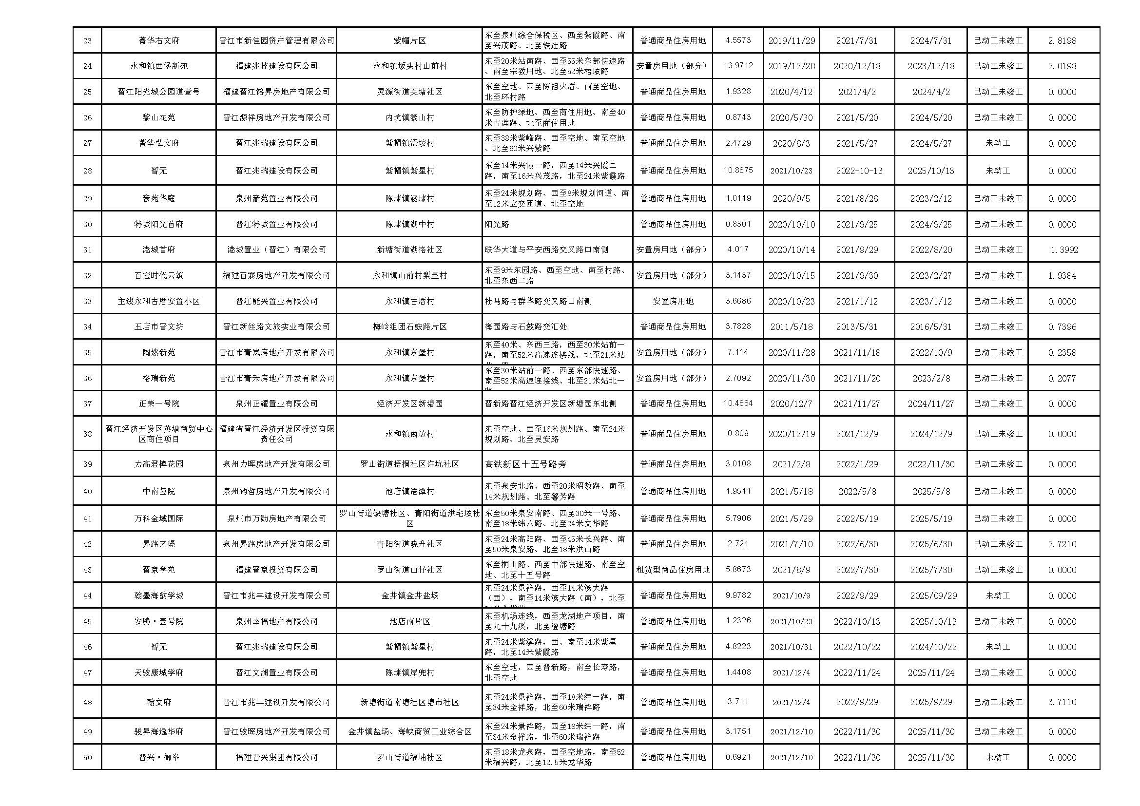
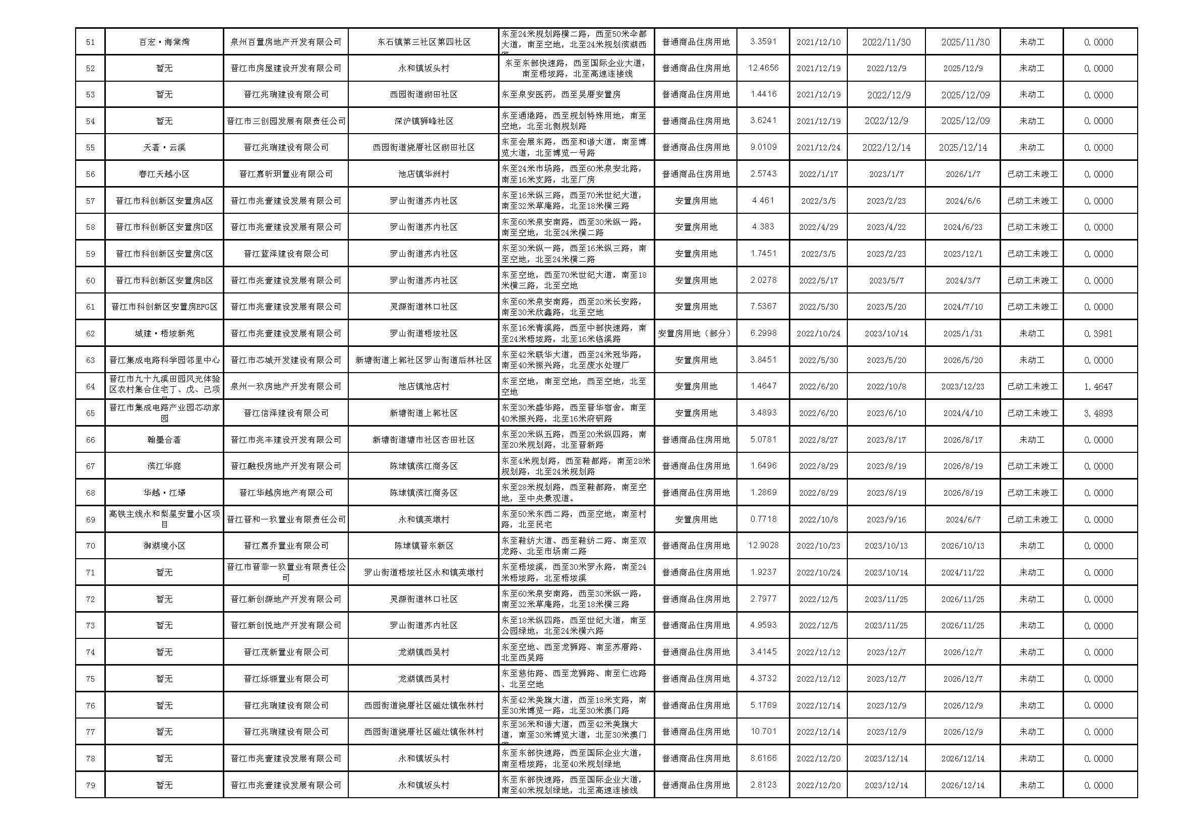
附件1 晋江市存量住宅用地项目清单(定稿)_页面_1
附件1 晋江市存量住宅用地项目清单(定稿)_页面_2
附件1 晋江市存量住宅用地项目清单(定稿)_页面_3
附件2 晋江市存量住宅用地信息汇总表(定稿)
扫一扫在手机上查看当前页面
泉州市晋江市人民政府门户网站注册和登录功能现由“福建省社会用户实名认证和授权平台”提供统一支持,用户在首次登录时,需注册账号方可使用。完成账号注册后,按页面提示登录系统即可。具体操作步骤如下:
(1)点击“注册”,跳转注册界面
(2)选择注册类别,填写相关信息,完成注册,跳转登录页面
(3)按需选择登录方式登录即可,若有系统使用相关问题,请致电:0595-85662126。
若有注册、登录问题,请致电0591-62623959,感谢您的理解与支持。